12月12日,广州发改委发布《关于公示氢能产业发展资金2025年燃料电池汽车示范运营补贴安排计划(第二批)的公告》。
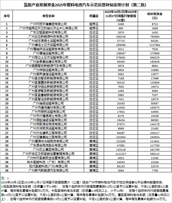
根据公示,共有广东云韬氢能科技有限公司、广州巴士集团有限公司、羚牛氢能科技(广东)有限公司等36家企业获得575.9282万元。其中,广州德运土石方运输有限公司获得最高补贴,补贴额为113.7664万元。

原文如下:
根据《广州市人民政府办公厅关于印发加快推动氢能产业高质量发展若干措施的通知》(穗府办规〔2024〕16号)和《广州市发展和改革委员会支持氢能产业发展资金管理办法》(穗发改规字〔2025〕5号),经组织申报、评审等程序,结合广州市新能源智能汽车大数据监测平台氢燃料电池汽车模块提取的车辆运营数据,形成了2025年燃料电池汽车示范运营补贴名单及补贴金额。现将《氢能产业发展资金2025年燃料电池汽车示范运营补贴安排计划(第二批)》予以公示。如对公示内容有异议的,请以实名、书面形式向广州市发展和改革委员会(能源处)反映。
一、电子邮件:liuxuemin@gz.gov.cn
二、邮寄:广州市越秀区府前路1号大院9号楼416室能源处(邮编:510032)
特此公告。
附件:氢能产业发展资金2025年燃料电池汽车示范运营补贴安排计划(第二批).xls
广州市发展和改革委员会
2025年12月12日
附件:

来源:广州市发展改革委


